Внимание! Информация не предназначена для самолечения, проконсультируйтесь у специалиста.
Карбидопа/Леводопа (Carbidopa/Levodopa), описание лекарства, фармакологические действия, действующие вещества и формы выпуска
- Действующее вещество: Леводопа + Карбидопа
- Фармакологические группы: Дофаминомиметики, Дофаминомиметики в комбинациях, Противопаркинсонические средства в комбинациях
Формы выпуска
Комплексный препарат
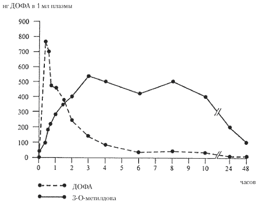
Противопаркинсонический, комбинация метаболического предшественника допамина и ингибитора декарбоксилазы ароматических аминокиcл
Похожие лекарства:
— Наком®— Тидомет форте
Дополнительные изображения лекарственного средства Карбидопа/Леводопа
На этой странице Вы можете получить максимум информации о таком лекарственном средстве как Карбидопа/Леводопа.
Прочитайте описание и показания лекарственного средства Carbidopa/Levodopa, узнайте о возможных побочных эффектах и противопоказаниях.
Узнав про действующее вещество и фармакологическое действие такого лекарства как Леводопа + Карбидопа Вам станет понятно при лечении каких заболеваний может быть использовано лекарственное средство и к какому врачу обратиться для прохождения медицинских мероприятий и избежания тяжелых последствий и осложнений.
Использование фармакологических препаратов не рекомендуется с точки зрения долговременного здоровья, а также у большинства препаратов имеются противопоказания к применению.
Так же вы сможете посмотреть фото лекарственного средства и узнать возможны ли побочные действия при принятии Карбидопа/Леводопа и других лекарств одновременно, а также цены в ближайших аптеках и альтернативы данному лекарственному средству.
Описание лекарственного средства Карбидопа/Леводопа не предназначено для назначения лечения без участия врача.







