Внимание! Информация не предназначена для самолечения, проконсультируйтесь у специалиста.
Стадол®, описание фармакологического действия лекарства, возможные побочные эффекты и противопоказания
(информация для специалистов)
по медицинскому применению препарата
СТАДОЛ ®
(буторфанол тартрат)инъекционный
ОПИСАНИЕ
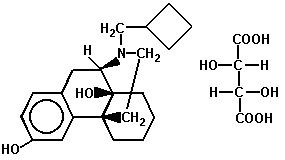
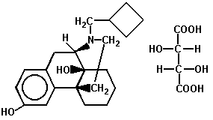
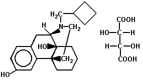
Буторфанол тартрат представляет собой синтетический опиоидный анальгетик фенантренового ряда, обладающий агонистической/антагонистической активностью.
Химическое название препарата
(-) - 17 - ( цикло6утилметил ) морфинан 3,14 - диол [S - (R*, R*)]
- 2,3 - дигидроксибутандиоат (1:1) (соль).
Молекулярная формула препарата С21Н29NО2С4Н6O6
соответствует молекулярному весу 477,55, а структурная формула приведена
ниже:

Буторфанол тартрат представляет собой белое кристаллическое вещество.
Дозу выражают в эквиваленте тартратной соли. Один миллиграмм соли соответствует
0,68 мг свободного основания. Коэффициент распределения буторфанола в системе
N-октанол/водный буфер составляет 180:1 при рН 7,5.
СТАДОЛ (буторфанол тартрат для инъекций) представляет собой стерильный
водный раствор буторфанол тартрата для парентерального введения, предназначенный
для внутривенных и внутримышечных инъекций. Каждый миллилитр раствора содержит
помимо 1 или 2 мг буторфанол тартрата, также 3,3 мг лимонной кислоты, 6,4
мг цитрата натрия, 6,4 мг хлористого натрия и 0,1 мг бензетоний хлорида
(только в многодозовом флаконе) в качестве консерванта.
СТАДОЛ® NS™ (буторфанол тартрат аэрозоль для интраназального применения)
представляет собой водный раствор буторфанол тартрата для применения в
виде дозированного аэрозоля на слизистую оболочку носа. Каждый контейнер
СТАДОЛА NS содержит 2,5 мл раствора буторфанол тартрата (10 мг/мл) вместе
с хлористым натрием, лимонной кислотой и бензетоний хлоридом в очищенной
воде с добавлением едкого натрия и/или соляной кислоты для подведения рН
к 5,0. Насосный резервуар должен быть полностью заполнен перед началом
применения. После исходного заполнения каждая отмеренная доза составляет
в среднем 1,0 мг буторфанол тартрата, так что контейнер на 2,5 мл содержит
в среднем 14-15 доз СТАДОЛА NS. Если устройство не используется 48 часов
или более, его следует повторно подготовить к использованию . При эпизодическом
использовании, когда заполнение требуется перед применением каждой дозы,
контейнер на 2,5 мл содержит в среднем 8-10 доз СТАДОЛА NS в зависимости
от того, какое количество циклов подготовки было необходимо.
КЛИНИЧЕСКАЯ ФАРМАКОЛОГИЯ
Общая фармакология и механизм действия
Буторфанол и его основные метаболиты представляют собой агонисты опиоидных
рецепторов класса канна- и являются смешанными антагонистами мю-
опиоидных рецепторов.
По-видимому, взаимодействие препарата с указанными рецепторами в центральной
нервной системе отвечает за большинство его фармакологических эффектов,
включая анальгетическое действие. Помимо анальгетического действия, эффекты
на ЦНС включают подавление непроизвольной дыхательной активности к кашлю,
стимуляцию центра рвоты, сужение зрачков и седативное действие. Эффекты,
возможно, не связанные с ЦНС, включают изменения гемодинамики, бронхомоторного
тонуса, секреторной и моторной активности желудочно-кишечного тракта и
активности сфинктера мочевого пузыря.
На животной модели доза буторфанола тартрата, необходимая для проявления
антагонизма по отношению к анальгетическому действию морфина на 50%, была
сходной с дозой налорфина, меньшей, чем доза пентазоцина и более высокой,
чем доза налоксона.
Фармакологическая активность метаболитов буторфанола на человеке не
исследовалась, в опытах на животных метаболиты буторфанола обладали определенным
анальгетическим действием.
В исследованиях буторфанола, проведенных на человеке, седативный эффект
обычно отмечался при дозах, составлявших 0,5 мг или более. Наркоз вызывался
дозами буторфанола, составлявшими 10-12 мги вводившимися внутривенно на
протяжении 10-15 минут. Буторфанол, подобно другим агонистам антагонистов
смешанного действия, обладающим высоким сродством к канна-рецептору,
может вызывать у отдельных больных неприятные психотомиметические эффекты.
Дозы, равные 1 мг или более, при любом способе введения могут вызывать
тошноту и/или рвоту.
В исследованиях на человеке, проводившихся с испытуемыми без выраженных
дисфункций дыхательной системы, внутривенное введение 2 мг буторфанола
или 10 мг морфинсульфата приводило к близкому подавлению дыхания. При использовании
более высоких доз степень подавления дыхания буторфанолом заметно не возрастала;
однако продолжительность эффекта увеличивалась. Подавление дыхания, отмечавшееся
после введения буторфанола любым путем, снималось специфическим антагонистом
опиоидной системы налоксоном.
Буторфанол тартрат в дозах, меньших, чем требующиеся для проявления
анальгетического действия, обнаруживает на животных противокашлевый эффект.
Гемодинамические изменения, отмечавшиеся во время катетеризации сердца
у больных, получавших буторфанол однократно внутривенно в дозе 0,025 мг/кг
веса тела, включали увеличение давления в легочной артерии, давления заклинивания,
сосудистого сопротивления, а также увеличение конечного диастолического
давления в левом желудочке и системного артериального давления.
Фармакодинамика
Анальгетический эффект буторфанола зависит от пути введения. Анальгетический
эффект наступает через несколько минут после внутривенного введения, в
пределах от 10 до 15 минут после внутримышечного введения и в пределах
15 минут после применения интраназального аэрозоля.
Максимальная анальгетическая активность наблюдается через 30-60 минут
после внутривенного или внутримышечного введения и в пределах 1-2 часов
после применения интраназального аэрозоля. Продолжительность анальгетического
эффекта варьирует в зависимости от характера болевого синдрома, а также
пути введения, обычно после внутримышечного и внутривенного введения действие
препарата продолжается 3-4 часа, после чего 50% больных требуется повторное
введение препарата. У послеоперационных больных анальгетический эффект
буторфанола при внутривенном или внутримышечном введении был сходным по
продолжительности с эффектом морфина, меперидина и пентазоцина при аналогичном
пути введения в эквипотентных дозах. По сравнению с инъекционной формой
препарата и другими препаратами данного класса СТАДОЛ NS™ (буторфанол тартрат
аэрозоль для интраназального применения) имеет более высокую продолжительность
действия (4-5 часов).
ИНДИВИДУАЛИЗАЦИЯ ДОЗИРОВОК
Обычно исходные дозы буторфанола составляют: по 1 мг с интервалами 3-4
часа внутривенно, по 2 мг через каждые 3-4 часа внутримышечно и 1 мг с
последующим введением 1 мг через 60-90 минут интраназально каждые 3-4 часа.
Использование буторфанола у престарелых больных, больных с нарушенной
функцией почек, больных с нарушенной функцией печени, а также во время
родов требует дополнительной осторожности.
СТАДОЛ для инъекций
Для снятия болевого синдрома рекомендованная исходная дозовая схема
СТАДОЛА для инъекций составляет: 1 мг ВВ или 2 мг ВМ через каждые 3-4 часа
по необходимости. Такая дозовая схема, вероятно, будет эффективной для
большинства больных. Корректировка дозы СТАДОЛА для инъекций должна основываться
на наблюдениях, касающихся ожидаемого действия побочных эффектов. Исходная
доза у престарелых больных, а также у больных с нарушениями функций печени
и почек, обычно должна составлять половину рекомендованной дозы для взрослых
(0,5 мг ВВ и 1,0 мг ВМ). Повторность доз у таких больных должна определяться
индивидуальной реакцией больного, обычно интервал между инъекциями составляет
не менее 6 часов.
Обычная доза, назначаемая перед хирургической операцией, составляет
2 мг ВМ за 60-90 минут перед операцией или 2 мг ВВ непосредственно перед
индукционной фазой наркоза. Такая доза приблизительно соответствует по
своему седативному эффекту 10 мг морфина или 80 мг меперидина. Такая однократная
предоперационная доза должна подбираться индивидуально в зависимости от
возраста, веса тела, физического статуса, заболевания, использования других
лекарственных препаратов и типа анестезии, а также характера хирургического
вмешательства.
Во время поддерживающей фазы при сбалансированной анестезии обычные
добавочные дозы СТАДОЛА для инъекций составляют 0,5-1,0 мг внутривенно.
Добавочные дозы могут быть высокими, до 0,06 мг/кг (4 мг/70 кг), в зависимости
от ранее применявшихся седативных препаратов, анальгетиков и снотворных.
Общая доза СТАДОЛА для инъекций может варьировать; однако лишь в редких
случаях требуются дозы менее 4 мг или более 12,5 мг (приблизительно 0,06-0,18
мг/кг). Как и другие опиоидные препараты данного класса, СТАДОЛ для инъекций
может оказаться недостаточным для полноценной анальгезии в ходе операции
для всех больных и при всех заболеваниях. Отсутствие полностью успешного
анальгетического эффекта при сбалансированной анестезии обычно проявляется
как повышение общего симпатического тонуса. Соответственно, если артериальное
давление и частота сердечных сокращений продолжают нарастать, следует рассмотреть
возможность добавления мощного ингаляционного наркотического средства или
какого-либо препарата, назначаемого внутривенно.
При родах рекомендованная исходная доза СТАДОЛА для инъекций составляет
1 или 2 мг ВМ или ВВ роженицам со сроком беременности не менее 37 недель
без признаков внутриутробной патологии плода. Доза СТАДОЛА для инъекций
при родах должна корректироваться в зависимости от исходной реакции роженицы,
причем следует учитывать, какие анальгетические и седативные препараты
применяются одновременно со СТАДОЛОМ, и ожидаемый срок родов. Препарат
не следует вводить чаще чем один раз в 4 часа и менее чем за 4 часа до
ожидаемого срока родов.
СТАДОЛ® NS™
(буторфанол тартрат аэрозоль для интраназального применения)
Поскольку применение СТАДОЛА NS не требует инъекции, врач может начать
лечение с малой дозы и при необходимости повторить введение препарата.
Обычная рекомендованная исходная доза для интраназального применения
составляет 1 мг (по одной дозе аэрозоля в каждую ноздрю). Если удовлетворительного
болеутоляющего эффекта не достигается в пределах 60-90 минут, можно назначить
дополнительную дозу, равную 1 мг. Указанную дозовую схему можно использовать
с интервалами в 3-4 часа по необходимости.
Для снятия тяжелых болей можно назначать исходную дозу, равную 2 мг
(по одной дозе аэрозоля в каждую ноздрю), при условии, что больные могут
оставаться в лежачем положении на случай появления сонливости или головокружения.
Таким больным не следует назначать препарат дополнительно на протяжении
3-4 часов. Частота побочных эффектов выше при использовании исходной дозы,
равной 2 мг.
Исходное применение СТАДОЛА у престарелых больных и больных с нарушениями
функций почек или печени должна проводиться в дозе 1 мг с последующим введением
еще одной дозы, равной 1 мг, через 90-120 минут. Введение повторных доз
у таких больных должно определяться реакцией больного, а не проводиться
через фиксированные промежутки времени. Обычно между приемами препарата
должно пройти не менее 6 часов.
ПОКАЗАНИЯ
СТАДОЛ (буторфанол тартрат для инъекций) и СТАДОЛ® NS™ (буторфанел тартрат
аэрозоль для интраназального применения) показаны для купирования болевых
симптомов в случаях, когда целесообразно использование опиоидного анальгетика.
СТАДОЛ для инъекций также показан для премедикации, в качестве дополнительного
препарата при сбалансированной анестезии и для снятия болей во время родов.
ПРОТИВОПОКАЗАНИЯ
СТАДОЛ для инъекций и СТАДОЛ NS противопоказаны у больных с гиперчувствительностью к буторфанол тартрату или консерванту бензетонию хлориду в СТАДОЛЕ NS или СТАДОЛЕ для инъекций в многодозовом флаконе.
ПРЕДУПРЕЖДЕНИЯ
Больные с зависимостью от наркотиков
Буторфанол в связи с его антагонистическими свойствами в отношении
опиоидов не рекомендуется использовать у больных с зависимостью от наркотиков.
У таких больных опиоиды должны быть отменены достаточно заблаговременно
перед началом лечения буторфанолом. У больных, хронически принимающих опиоидные
анальгетики, использование буторфанола приводило к возникновению симптомов
отмены, таких как чувство тревоги, возбуждение, изменения настроения, галлюцинации,
дисфория, слабость и понос. В связи с трудностью оценки толерантности к
опиоидам у больных, недавно получавших повторные дозы наркотических анальгетиков,
при введении таким больным буторфанола следует соблюдать осторожность.
Информация для больных
1. Сонливость и головокружение, связанные с применением буторфанола,
могут нарушать умственные и физические способности, необходимые для выполнения
потенциально опасных задач (например, вождение транспортных средств, работа
на механизмах и т.д.).
2. При использовании буторфанола не следует принимать алкоголь. Использование
буторфанола одновременно с препаратами, влияющими на центральную нервную
систему (например, алкоголь, барбитураты, транквилизаторы, антигистамины),
может приводить к усилению подавляющего действия на центральную нервную
систему, проявляющемуся в сонливости, головокружении и нарушении интеллектуальных
функций.
3. Больных следует проинструктировать в отношении правильного использования
СТАДОЛА NS.
ПОБОЧНЫЕ ЭФФЕКТЫ
В клинических исследованиях по буторфанолу принимало участие 2446 больных.
Приблизительно половина из них получала СТАДОЛ для инъекций, а остальные
СТАДОЛ NS. Почти во всех случаях тип и частота побочных эффектов буторфанола,
вводившегося как инъекционно так и интраназально, была такой же, как и
в случае других опиоидных анальгетиков.
Описанные ниже побочные эффекты основаны на данных краткосрочных и
долгосрочных клинических испытаний, проведенных на больных, получавших
буторфанол инъекционно или интраназально, а также на основании опыта, полученного
со СТАДОЛОМ для инъекций после выпуска препарата на рынок. В представленных
данных не учтена поправка на эффект плацебо и частота побочных эффектов
у больных, получавших плацебо в контролированных испытаниях.
Наиболее часто отмечавшимися побочными реакциями во всех клинических
испытаниях СТАДОЛА для инъекций и СТАДОЛА NS были сонливость (43%), головокружение
(19%), тошнота и/или рвота (13%). В долгосрочных испытаниях СТАДОЛА NS
часто сообщалось о чувстве заложенности в носу (13%) и бессоннице (11%).
ФОРМЫ ВЫПУСКА
Стадол для инъекций для ВМ и ВВ применения выпускается в следующем виде:
NDC 0015-5644-20 - 2 мг/мл, флакон на 2 мл
NDC 0015-5645-20 - 1 мг/мл, флакон на 1 мл
NDC 0015-5646-20 - 2 мг/мл, флакон на 1 мл
NDC 0015-5648-20 - 2 мг/мл, многодозовый флакон на 10 мл
Стадол NS выпускается в специальном флаконе, содержащем дозирующий
насос с защитной защелкой и колпачком для защиты от пыли, упаковка также
содержит флакон раствора для интраназального аэрозоля и листовку-вкладыш
с инструкциями для больного. В среднем использование одного флакона обеспечивает
получение 14-15 доз аэрозоля, если не требуется повторного заполнения системы
распыления.
NDC 0087-5650-41 - 10 мг/мл, флакон на 2,5 мл
ИНСТРУКЦИИ ДЛЯ ФАРМАЦЕВТОВ ПО СБОРКЕ СИСТЕМЫ ДЛЯ ИНТРАНАЗАЛЬНОГО ПРИМЕНЕНИЯ СТАДОЛА NS
Перед отпуском больному фармацевт должен подготовить СТАДОЛ NS в соответствии
со следующими инструкциями:
1. Вскрыть упаковку, защищенную от открывания ребенком, и вынуть из
нее насос для получения аэрозоля и флакон с раствором.
2. Для сборки устройства СТАДОЛ NS сначала снять белый колпачок с флакона,
содержащего раствор, а затем плотно навернуть нанос на флакон. Убедиться,
что прозрачный колпачок находится на насосном блоке.
3. Поместить флакон СТАДОЛА NS обратно в контейнер, защищенный от открывания
ребенком, для отпуска больному.
Условия хранения
Хранить при температуре менее 30°С. Парентеральный лекарственный препарат
перед использованием следует осмотреть на наличие частиц и окраски, если
тип контейнера и характер раствора позволяют произвести такой осмотр.
Зарубежное название лекарства: Stadol®
Альтернативные лекарственные препараты:
Дополнительные изображения лекарственного средства Стадол®
На этой странице Вы можете получить максимум информации о таком лекарственном средстве как Стадол®.
Прочитайте описание и показания лекарственного средства Stadol®, узнайте о возможных побочных эффектах и противопоказаниях.
Узнав про действующее вещество и фармакологическое действие такого лекарства как Стадол® Вам станет понятно при лечении каких заболеваний может быть использовано лекарственное средство и к какому врачу обратиться для прохождения медицинских мероприятий и избежания тяжелых последствий и осложнений.
Использование фармакологических препаратов не рекомендуется с точки зрения долговременного здоровья, а также у большинства препаратов имеются противопоказания к применению.
Так же вы сможете посмотреть фото лекарственного средства и узнать возможны ли побочные действия при принятии Стадол® и других лекарств одновременно, а также цены в ближайших аптеках и альтернативы данному лекарственному средству.
Описание препарата Стадол® не предназначено для назначения лечения без участия врача.







